
O deputado Wanderley Monteiro (Avante), retirou sua assinatura do pedido de criação da Comissão Parlamentar de Inquérito (CPI) que investigaria os recursos enviados pelo Governo do Amazonas para o “Programa Asfalta Manaus”, da gestão David Almeida (Avante).
Muitos parlamentares acreditavam que a retirada da assinatura de Wanderley Monteiro do pedido de criação da CPI do Asfalto, seria por ameaças de expulsão do Partido Avante, que é o mesmo do prefeito, mas agora descobriu-se que a mãe do parlamentar possuí contratos com a Prefeitura de Manaus.
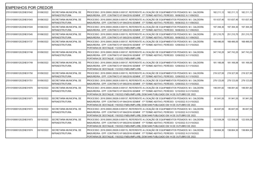
Em uma pesquisa ao Portal da Transparência, mostra que a empresa M. I. CALDEIRA LOCAÇÕES, de propriedade da mãe de Wanderley Monteiro, recebeu mais de R$ 22,5 milhões de reais a Maria Izabel Caldeira Madureira.

A Prefeitura de Manaus empenhou pagamentos entre os anos de 2021 e 2023 para a empresa de familiares de Wanderley Monteiro, mas em 2024, o prefeito chegou a emprenhar os valores a empresa M. I. CALDEIRA LOCAÇÕES, que não foram pagos, levando a revolta do parlamentar com seu aliado.










Após críticas publicas do prefeito David Almeida ao deputado Wanderley Monteiro, o prefeito expulsou o parlamentar do Avante, mas após as desavenças públicas entre os políticos, o parlamentar do nada voltou atrás e retirou sua assinatura do pedido de CPI do Asfalto.
Não se sabe ao certo se o Partido Avante conseguiu convencer o deputado a voltar atrás, ou se a Prefeitura de Manaus voltou a realizar os pagamentos a a empresa M. I. CALDEIRA LOCAÇÕES, de propriedade de Maria Izabel Caldeira Madureira, mãe de Wanderley Monteiro.
Wanderley Monteiro é apontado como ex-affair da espora de David Almeida, Izabelle Fontenelle Almeida, e já foi acusado pelo prefeito de ter vazado na imprensa, um dossiê com fotos e contatos compossíveis amantes da primeira-dama, quando a mesma era solteira.


